미국 스포츠를 보다보면 농구 선수 키를 피트, 인치 그리고 야구 투수 구속을 마일로 나타낸다. 그리고 날씨 방송을 화씨로 나타내어 숫자가 40 ~ 90까지 있어 순간 당황스럽기도 하다.
우리는 국제단위계, 일명 SI단위라고 하여 초, 미터, 킬로그램 등의 미터법을 쓰고 있다. 이건 1875년 국제미터협약으로 프랑스 파리에서 17개국이 모여서 정한 것이다. 그곳에는 미국도 있었다.
1960년 제 11차 도량형 협회 회의에서 SI를 공식적으로 정의하여 확립한다. (이하의 표)

지금 이건 미국, 라이베리아 미얀마를 제외하고 전 세계적으로 다 쓰고 있다. 영국도 있지만 병행하며 기본적으로 SI미터법쓴다. 병행한다는 뜻은 SI미터법을 쓰되 마치 한국이 한 평, 한 근하는 정도라고 생각하면 된다. 라이베리아는 과거 미국 식민지였고 미얀마는 영국 식민지였기에 어쩔 수 없었고 사실상 미국만 저런 단위를 주로 사용한다.
미국이 쓰는 단위들
미국은 과거 영국이 쓰던 야드ㅡ파운드 법을 미국식으로 개량해서 사용한다. 그러니 영국하고도 다르다.
길이: 인치, 야드, 마일 등
넓이: 피트, 에이커
부피: 파인트, 쿼트, 갤런, 배럴 등(배스킨라빈스 생각하면 됨)
질량: 온스, 파운드, 톤
온도: 화씨
미국이 한국에도 오래 주둔해있다보니 27인치 TV, 8인치 핸드폰, 베스킨라빈스, 골프 드라이버 200야드 등 한국에서도 미국단위를 많이 쓰고 있다. 심지어 항공 산업은 미국이 최고이다보니 마일과 피트가 국제단위이다. 근데 우리 입장에서 보면 너무 중구난방이다. 10진법이면 10진법이고 12진법이면 12진법이지 측량법이 죄다 다르다.
1파운드 = 16온스
1피트 = 12인치
1야드 = 3피트
물은 화씨 32도에서 얼고, 화씨 212도에서 끓는다.
거기에 국제단위로 바꾸기도 어렵다
1피트 = 30.48cm
1인치 = 2.5399cm
1온스 = 28,3495그램
1마일 = 1.60934km
100년전 영국이 12진법을 사용했다가 1947년 2차 세계대전 이후 화폐개혁을 했다.
1실링 = 12펜스
1파운드 = 240펜스
eight, nine, ten, eleven, twelve, thirteen, fourteen
미터법을 통용시키려했던 미국의 행동들
1789년 미국 3대 대통령인 토마스 제퍼슨이 10진법에 기반한 미터법과 유사한 시스템을 제시하지만 의회는 하던 데로 하자며 결정하지 않았고 결국 영국식 도량형 버전이 고착화되게 되었다. 이후로도 1866년 미터법 합법화 하고 1875년 최초의 미터 - 협약 가입국이 되기도하며 노력했지만 그동안 과학자와 일반 대중이 분리되며 일반 대중이 그걸 원치않아 또 흐지부지됐고 1893년 Mendenhall order에서 미터법에 대해 다시 측량하자고 했더니 자기들이 쓰던 단위를 SI단위로 정교하게 정의해서 왔다. 이러니 또 흐지부지됐다.
1풋 = 0.3048미터
1파운드 = 453.59237그램
1970년대 다시 미터법 변환 법을 통과시키지만 미국 소비자들이 미터법 단위 사용을 거부하며 시위를 한다. 56마일이 90km인데 표지판이 90으로 되어있으면 나는 90마일로 달리겠다는 것이다. 당시 미국 하원의원 척 그래슬리는 미터법 전환을 강요하는 일은 헌법에 어긋난다며 헌법소원을 신청한다. 그리고 "우리는 이 나라가 1인치도 포기하지 않도록 할 것이다"라고 한다.
전문가들은 미국의 미터법에 대해 미국이 실패한 것은 미터법 사용이 아니라 전통 단위 사용을 제한하거나 금지하지 못한 것이다라고 평가한다.
그래서 미국에 가면 복잡한 상황에 마주한다.
Q. 휘발유 1갤런에 5달러이고 내 자통차가 1갤런에 10마일 갈때 몇리터를 넣어야 몇 km를 갈까?
A.
1갤런은 3.78리터
1마일은 1.6km
10마일이면 16km이니 3.78L를 넣으면 16km을 간다. 그러니 연비는 16/3.78 = 4.2이다.
단위의 차이로 허무하게 날아간 4천억원
이러한 문제는 항공, 우주 분야에서 심각한 문제를 야기한다. 미국은 항공, 우주 분야에서 사실상 기준을 만들 정도로 최고이기에 전 세계 항공이 야드, 마일을 따르고 있는데 그러다 1999년 화성 탐사선 폭파사건이 발생한다. 1999년 9월 화성탐사선이 화성에 접근하고 궤도 안착을 시도할 때 평소의 2배의 추진력으로 화성을 돌진해 폭파한다. 그래서 3억달러가 날아간다.
NASA는 록히드 마틴에게 주문을 넣을 때 당연히 SI라고 생각해 주문을 넣었고 록히드마틴은 야드 파운드 법으로 만든다. 1파운드는 0.45kg니 차이가 엄청나다. 록히드 마틴은 NASA에게 프랑스 등의 외국기관도 아니고 미국기관이 왜 SI로 하냐며 항의했고 NASA는 이제 모든 부품을 공식적으로 SI로 표기하기로 결정한다. 다만 항공은 아직도 야드 파운드 법이다.
Side story
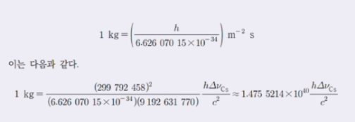
원래 1kg는 이하의 물건으로 측정했다.

하지만 2018년 물건이 풍화되기도 하는 문제로 국제 도량형 총회 4개 기본단위 정의를 변경하기로 결정한다. (kg, 암페어, 캘빈, 물) 그래서 kg의 정의는 요렇게 바뀐다



유튜브 댓글
한국계량측정협회가 이 영상을 애정합니다. 참고로 우리나라는 1959년 미터협약에 가입하였으며, 1964년 계량법에 따라 미터법을 전면 실시했습니다!
완전 공감해요 한국에서 미국간호사 공부중인데 약물계산할때마다 영아 몸무게 파운드로 나와서 영아 몸무게 할때마다 2.2나누기하고 환자 교육중에 갤런 나오고 진짜 어렵네요
전에 어떤한국분이 미국의 단위계에 대해 옹호하면서 문화유산으로서 보존시켜야하니까 바꾸면 안된다라고 옹호하며 이야기하던 일이 생각나네요.. 미국도 언젠가 미터법이 전반적으로 보급되어 단위변환에 대한 손실이 줄어들었으면 좋겠습니다. 전에 미국장비 들여와서 쓴적있었는데 나사가 직경이 쓰던거랑 같길래 썼다가 미묘하게 어긋나서 보니까 인치단위 나사였던......
코멘트: 뭔가 단위가 다르니까 몰입이 안돼..
#슈카월드
#미국
#스포츠
#단위
| 물음표는 왜 ? 이런 모양으로 생겼을까 (0) | 2022.09.13 |
|---|---|
| 영화관 이거 모르고 가면 낭패..반값으로 즐기는 영화관 꿀팁 9가지!! (0) | 2022.09.06 |
| 일본에게 조선을 판 사람들은 얼마를 받았을까? (0) | 2022.08.27 |
| 불륜을 합리화하는 여자들의 패턴 (0) | 2022.08.19 |
| 처음 유통기한을 만든 건 마피아였다 (0) | 2022.08.18 |